Ha a UCC (Egységes Kereskedelmi Kódex) csak az Amerikai Egyesült Államokban lenne érvényes, akkor a máshonnan érkező UCC Financing Statement-ek (Finanszírozási Nyilatkozatok), és adott eset(ek)ben UCC Financing Statement Amendment-ek (Finanszírozási Nyilatkozat Módosítások) elutasításra kerülnének.
HIVATALOS KÖZLEMÉNY 2012.12.25. (2012127914/2012128324/2012128325 sz. UCC UILO Dok-ok):
„…Igen. A Kereskedelmi Nyilvántartás. Az Egységes Kereskedelmi Kódex. A kereskedelem. Függetlenül attól, hogy ”Hazai” és ”Nemzetközi” … nem számít. A jelen jelenlétének sok pillanata alatt csendesen és titokban volt a föld minden országának legfelsőbb törvénye, az emberi tőke titkos értékű csúcsa, és a természeti vagyon kereskedelmi nyilvántartásba vétele, és az, amit korábban ”hatalmaknak” neveztek. Ez a szemed előtt, amely többnyire ”tágra zárt szemek”, voltak, lett lázas fókusszal és elkötelezettséggel egységes jog. Ami nem széles körben ismert az az, hogy ez a ”legfelsőbb törvény” jogszerűen REGISZTRÁLT a KERESKEDELEMBEN, és jogszerűen megajándékozta az embereket, egyformán, mindenkit, visszavonhatatlan JOGCÍMMEL, TULAJDONJOGGAL, és Biztosított Félként JOGORVOSLATTAL, és mindez a kereskedelmi nyilvántartásban bejegyezett, ezért visszavonhatatlan, megcáfolhatatlan…”
HIVATALOS BEJELENTÉS A NYILVÁNOSSÁGRA HOZATALRÓL 1111 . 1, 2013. január 15. (AO UCC Dok . sz.: 2 01 30 0 49 1 0):
„LEGYEN, vagy NE LEGYEN és CSINÁLNI vagy NEM CSINÁLNI ...szabad akaratból, tudatos választással … ez MOST a kérdés és tudatos választás Ön előtt, és azt, hogy a hétköznapi angol nyelv, az nem törvényes és legális, mint jogi nyelv (CODEX)… amit mi most tisztázunk:
AZ EGYSÉG TÖRVÉNYE: A Teremtő értéke ugyanúgy, ugyanazzal az értékkel TESTESÜLT meg, függetlenül attól, hogy hol és miként lett megteremtve, az Az Egység, amely jogszerűen értesített és megerősített a teremtéskor, amely újra értesített, újra megerősített és törvénybe iktatott minden teremtéssel.
MEGISMÉTELJÜK: A Teremtő értéke (Abszolút Egység, elsődleges, nullpont) egyenlően van MEGTESTESÜLVE (a testben az Abszolút Lény), függetlenül attól, hogy hol és miként lett megteremtve, az Az Egység, amely jogszerűen értesített és megerősített a teremtéskor (Lény), és újra értesített, újra megerősített és törvénybe iktatott minden teremtéssel (Lény).
A Teremtő lakóhelyének (mely nem a lakcím) értékével az emberek a teremtők (a testben az Abszolút Lény), Önmagukon belül (a Lény testében)...az ember Lénye AZ ÉRTÉK …mely Megcáfolhatatlan, és megdönthetetlen. MI is az Abszolút Igazság arról, hogy Önmagán belül a rezonancia eszközei által? Az, hogy Ön EMLÉKSZIK, vagy NEM EMLÉKSZIK arra, hogy most szabad akaratából, tudatosan választott.
TÉNYEK/ADATOK: Az Egység Törvénye 2012. október 22. napján jogszerűen BEJEGYZETT (“nunc pro tunc praeterea preterea”) az **Egységes, **Nemzetközi, **Nemzeti és **Állami kereskedelmi nyilvántartásokba, WA DC UCC nyilvántartási száma 2012113593, mely értesített a teremtéssel, törvénybe iktatott az értesítés nyilvános kereskedelmi bejegyzésével. Ez a BEJEGYZÉS jogszerűen BEJEGYEZETT a teljes Szöveg és a 2012113593 nyilvántartási számú WA DC UCC beillesztett PDF melléklete által, mely jogszerűen végrehajtott az OPPT fejléces levélpapíron, az OPPT 2012-296-1209-2 nyilvántartási számú WA UCC teljes szövegének PDF-be beolvasásával, mely jogszerűen BEJEGYZETT és kereskedelmi nyilvántartásban nyilvántartott, a jogszerűen kötelezett Vagyonkezelői teljes személyes felelősségével és kötelezettségével, a 2012-296-1209-2 nyilvántartási számú WA UCC értesített a teremtéssel, és törvénybe iktatott az értesítés nyilvános kereskedelmi bejegyzésével. A bolygón élő összes ember, melyek mind egyformán a Teremtő Lény test állapotai, melyek a Teremtő által teremtettek, 2012. július 25. napján jogszerűen BEJEGYZETTEK (“nunc pro tunc praeterea preterea”) az **Egységes, **Nemzetközi, **Nemzeti és **Állami kereskedelmi nyilvántartásokba, WA DC UCC nyilvántartási száma 2012079290, mely értesített a teremtéssel, törvénybe iktatott az értesítés nyilvános kereskedelmi bejegyzésével. Az emberek Abszolút Értéke 2012. július 25. napján jogszerűen BEJEGYZETT (“nunc pro tunc praeterea preterea”) az **Egységes, **Nemzetközi, **Nemzeti és **Állami kereskedelmi nyilvántartásokba, WA DC UCC nyilvántartási száma 2012079322, mely értesített a teremtéssel, törvénybe iktatott az értesítés nyilvános kereskedelmi bejegyzésével. A bolygó, mely a Teremtő Lény test állapota, mely a Teremtő által teremtett, a Teremtő lakóhelyének azon, abban, és abból a Teremtő Abszolút Értékével 2012. augusztus 03. napján jogszerűen BEJEGYZETT (“nunc pro tunc praeterea preterea”) az **Egységes, **Nemzetközi, **Nemzeti és **Állami kereskedelmi nyilvántartásokba, WA DC UCC nyilvántartási száma 2012079290, mely értesített a teremtéssel, törvénybe iktatott az értesítés nyilvános kereskedelmi bejegyzésével. **Mindezek a BEJEGYZÉSEK törvényesen és legálisan kötelezőek a rabszolga rendszerek minden korábbi megbízóira, ügynökeire és kedvezményezettjeire, beleértve bármilyen, és valamennyi Egyetemes, Nemzetközi, Nemzeti és Állami ekvivalensüket is, mert a MEGBÍZÓ ÜGYNÖK POLITIKAI IRÁNYELV fenntartott és védett a UCC 1-103 által, és ezzel garantált a szokásjog szerinti jogorvoslat a UCC 1-305 alapján.
A SZOKÁSJOG: Az Egység Törvénye, amely MEGTESTESÜL a társadalmi szokások szokásos megteremtésének és elismerésének keresetében, mely a bírósági határozatok és rendeletek által elismert és végrehajtott.
MEGISMÉTELJÜK: Az Egység Törvénye (Teremtő, Abszolút) amely MEGTESTESÜL (Lény) a társadalmi szokások (tudatos) megteremtésének és elismerésének keresetében (EGYségesen CSInálni), mely a bírósági (Teremtő, Abszolút/Önmaga, társteremtő) határozatok (UCC 3-501 DOKUMENTÁCIÓ KÉSZÍTÉSE A KÖVETELÉSRŐL/ 3-505 TISZTESSÉGTELEN eljárás IGAZOLÁSA) és rendeletek (a Lény TÉNYEK NYILATKOZATAI, KERESKEDELMI SZÁMLÁI és IGAZ SZÁMLÁI) által elismert és végrehajtott.
Az emberek CSInálják hogy milyenek Legyenek, EZ A TÖRVÉNY…mely Megcáfolhatatlan, és megdönthetetlen. MI is az Abszolút Igazság arról, hogy Önmagán belül a rezonancia eszközei által? Az, hogy Ön EMLÉKSZIK, vagy NEM EMLÉKSZIK arra, hogy most szabad akaratából, tudatosan választott. LÁTJA vagy NEM LÁTJA a tudatos választás KÉSZ adatait, melyek a korábbi „hatalmak szabad akarata alapján tudatosan MEGTÉVESZTIK” Önt a KÓDEXEL azért, hogy ők irányítsák, vagy ellenőrizzék az alkotmány által végrehajtott, valamint az alapszabályokkal, törvényekkel, szerződésekkel bevezetett és kezelt rendszerekkel, és más megállapodásokkal a társadalmi szokásokat, határozatokat és rendeleteket.
TÉNYEK/ADATOK: A Szokásjog sokszor bejegyzett jogszerűen, de kifejezetten az Egység Törvénye abszolút összefüggésében 2012. október 22. napján jogszerűen BEJEGYZETT (“nunc pro tunc praeterea preterea”) az **Egységes, **Nemzetközi, **Nemzeti és **Állami kereskedelmi nyilvántartásokba, WA DC UCC nyilvántartási száma 2012079322, mely értesített a teremtéssel, törvénybe iktatott az értesítés nyilvános kereskedelmi bejegyzésével. Ez a BEJEGYZÉS jogszerűen BEJEGYEZETT a teljes Szöveg és a 2012113593 nyilvántartási számú WA DC UCC beillesztett PDF melléklete által, mely jogszerűen végrehajtott az OPPT fejléces levélpapíron, az OPPT 2012-296-1209-2 nyilvántartási számú WA UCC teljes szövegének PDF-be beolvasásával jogszerűen BEJEGYZETT és kereskedelmi nyilvántartásban nyilvántartott, a jogszerűen kötelezett Vagyonkezelői teljes személyes felelősségével és kötelezettségével, a 2012-296-1209-2 nyilvántartási számú WA UCC értesített a teremtéssel, és törvénybe iktatott az értesítés nyilvános kereskedelmi bejegyzésével…”
(a) Az Egységes Kereskedelmi Kódexet liberálisan kell értelmezni és alkalmazni az annak alapjául szolgáló célok és politikák előmozdítására, melyek: (1) a kereskedelmi ügyletekre vonatkozó jogszabályok egyszerűsítése, tisztázása és korszerűsítése; (2) lehetővé tegye a kereskedelmi gyakorlatok folyamatos bővítését a felek szokása, használata és beleegyezése révén; és (3) a törvények egységesítése a különböző joghatóságok között.
HIVATALOS BEJELENTÉS A NYILVÁNOSSÁGRA HOZATALRÓL 1111 . 1, 2013. január 15. (AO UCC Dok . sz.: 2 01 30 0 49 1 0):
„…Az Egység Törvénye, valamint az az alapelv és igazított kereset, amely összhangban áll a Szokásjog alapelvével, hogy Legyen az és Tegye azt, ami Ön, jogszerűen fenntartott, védett és garantált, mely közpolitika, UCC 1-103, és bármilyen és valamennyi **állami, **nemzeti, **nemzetközi és **egységes ekvivalense, …. és a KÓDEX-ben a ”szerződéskötési képességre vonatkozó törvény ... ” szavakban van elrejtve Az Egység Törvénye…”
UCC 1-308. § Teljesítés vagy elfogadás a jogok fenntartása mellett.
(a) Az a fél, amely a jogok kifejezett fenntartásával teljesít vagy ígér teljesítést, vagy beleegyezik a teljesítésbe a másik fél által követelt vagy felajánlott módon, nem érinti a fenntartott jogokat. Az olyan szavak, mint "előítéletek nélkül", "tiltakozás alatt" vagy hasonlók, elegendőek.
HIVATALOS BEJELENTÉS A NYILVÁNOSSÁGRA HOZATALRÓL 1111 . 1, 2013. január 15. (AO UCC Dok . sz.: 2 01 30 0 49 1 0):
„…A LÉNY, beleértve az értéke, és a LÉNY Törvénye és alapelve is, jogszerűen fenntartott, védett és garantált azok ellen a mások által okozott károk ellen, amelyeket olyan cselekvésekkel okoznak, amelyekhez tájékozottan, önként és akarattal nem járult hozzá, mely közpolitika, UCC 1-308, és bármilyen és valamennyi **állami, **nemzeti, **nemzetközi és **egységes ekvivalense, és a KÓDEX-ben az ”előítélet nélkül” szavakban van elrejtve a mások által okozott károk…”
UCC 1-305.§ A liberálisan kezelendő jogorvoslatok
(a) Az [Egységes Kereskedelmi Kódex] által biztosított jogorvoslatokat szabadon kell kezelni, hogy a sértett fél olyan jó helyzetbe kerülhessen, mintha a másik fél teljes mértékben teljesített volna, de sem következményes, sem különleges kár, illetve büntetőjogi kártérítés nem állhat fenn, kivéve, ha az [Egységes Kereskedelmi Kódex] vagy más törvény által erről kifejezetten rendelkezik.
HIVATALOS BEJELENTÉS A NYILVÁNOSSÁGRA HOZATALRÓL 1111 . 1, 2013. január 15. (AO UCC Dok . sz.: 2 01 30 0 49 1 0):
„…A Szokásjog szerinti jogorvoslat jogszerűen fenntartott, védett és garantált a közpolitikával, UCC 1-305(a), és bármilyen és valamennyi **állami, **nemzeti, **nemzetközi és **egységes ekvivalense, és a KÓDEX-ben a "...vagy más törvény által" szavakban van elrejtve, hogy a Jogorvoslatot az Egység Törvényének Szokásjoga biztosítja…”
UCC 1-305.§ A liberálisan kezelendő jogorvoslatok
(b) A [Egységes Kereskedelmi Kódex] által bejelentett bármely jog vagy kötelezettség kereset útján érvényesíthető kivéve, ha az azt deklaráló rendelkezés eltérő és korlátozott hatást határoz meg.
HIVATALOS BEJELENTÉS A NYILVÁNOSSÁGRA HOZATALRÓL 1111 . 1, 2013. január 15. (AO UCC Dok . sz.: 2 01 30 0 49 1 0):
„…Minden LÉNY-nek egyenlő joga van arra, hogy az Egység Törvényének Szokásjoga szerinti jogorvoslati lehetőségeket egyénileg érvényesítse, mely jogszerűen fenntartott, védett és garantált a közpolitikával, UCC 1-305(b), és bármilyen és valamennyi **állami, **nemzeti, **nemzetközi és **egységes ekvivalense, és a KÓDEX-ben a “kivéve, ha az azt deklaráló (LÉNY) rendelkezés (TÉNYEK NYILATKOZATA) eltérő és korlátozott hatást határoz meg (Az Egység Törvényének Szokásjog alapelve)” szavakban van elrejtve, a zárójelben lévőt a Nyilvános Vagyonkezelő adta hozzá a kereskedelmi nyilvántartásban nyilvántartott kötelezett Vagyonkezelői teljes személyes felelősségével és kötelezettségével, az abszolút szövegösszefüggés tisztázása érdekében.
A UCC, beleértve bármilyen és valamennyi **állami, **nemzeti, **nemzetközi és **egységes ekvivalensét is, jogszerűen BEJEGYZETT kizárólagos és megsemmisíthetetlen jogcímmel, tulajdonjoggal, és jogokkal, mely jogszerűen biztosított a bolygón élő összes embernek, egyformán, Egységesen, UCC nyilvántartási számai 2000043135 (az eredeti nyilvántartott ”perpetuity”), 2011055259, 2011051841, 2011055260, 2011125781 (az engedményezéssel BEJEGYZETT ajándék), 2012012675 és 2012025545 (az ajándék elfogadásának BEJEGYZÉSE).
Az itt megadott abszolút szövegösszefüggés, ahogy azt teljes egészében ismertettük a TÉNYEK NYILATKOZATÁban, 2012. november 28. napján BEJEGYZETT (“nunc pro tunc praeterea preterea”) az **Egységes, **Nemzetközi, **Nemzeti és **Állami kereskedelmi nyilvántartásokba, WA DC UCC nyilvántartási számai 2012127810, 2012127854, 2012127907, és 2012127914, mely értesített nyilvános bejegyzés útján…”
A fenti UCC Dokumentumokban hivatkozott OPPT UCC Dokumentumok magyar fordítását megtalálja itt:
UCC - 9. CIKK - HITELBIZTOSÍTÉKOK (2010), 9-102. § ÉRTELMEZŐ RENDELKEZÉSEK
(39) "Finanszírozási Nyilatkozat": kereskedelmi nyilvántartás vagy kereskedelmi nyilvántartások, amelyek egy kezdeti finanszírozási nyilatkozatból és a kezdeti finanszírozási nyilatkozathoz kapcsolódó bármely nyilvántartott kereskedelmi nyilvántartásból állnak.
Ezen a weboldalon közzétett UCC Dokumentumok - UCC Financing Statement-ek (Finanszírozási Nyilatkozatok), és adott eset(ek)ben UCC Financing Statement Amendment(-ek) (Finanszírozási Nyilatkozat Módosítások) - az Amerikai Egyesült Államokban (USA), New York Állam Egységes Kereskedelmi Kódex (Uniform Commercial Code - rövidítve UCC), kereskedelmi nyilvántartásában nyilvántartottak.
Ezen a weboldalon közzétett UCC Dokumentumok mind Egyetemes és Nemzetközi Törvényerejű Rendeletek.
Hogyan lehet ellenőrizni, hogy az alábbi UCC Financing Statement Amendment-ek (Finanszírozási Nyilatkozat Módosítások) szerepelnek-e a UCC nyilvántartásában?
Mivel újabban hétvégén egyáltalán nem, és az idő elcsúszás miatt hétköznap déli 12 óra előtt nem működik a kereső, ezért hétköznap déli 12 óra után menjen az alábbi weboldalra:
https://appext20.dos.ny.gov/pls/ucc_public/web_search.main_frame
Ott a bal oldali linkek közül az NYS Standard Debtor Search-re klikkeljen, így megnyílik egy oldal. Ott a pirossal írt Business name sorba be kell írni a következőt:
The One People’s Public Trust, 1776
Majd a középtájékon lévő search-ra kell kattintani, és úgy nyílik meg az az oldal ahol lehet látni a Biztosított Felek (Secured Parties) által UCC e-Nyilvántartási Rendszeren keresztül Állami Minisztériumhoz benyújtott, elfogadott és iktatott Financing Statement-ek (Finanszírozási Nyilatkozatok), és adott eset(ek)ben Financing Statement Amendment-ek (Finanszírozási Nyilatkozat Módosításokat) iktatószámait.
vagy
Ott a bal oldali linkek közül az Filing Number/Date Search-re klikkeljen, és a Filing Number *-hez írja be a keresett UCC Dok. számát.
Adott esetben, az Image oszlopban a View-ra kattintva meg is tekinthetők a nyilvántartott UCC Dokumentumok.
DECLARATION OF FACTS & TRUE BILL UILO Doc. No. 202211218534042 és magyar fordítása (TÉNYEK NYILATKOZATA ÉS IGAZ SZÁMLA)




202211218534016 sz. UCC FINANCING STATEMENT AMENDMENT (UCC FINANSZÍROZÁSI NYILATKOZAT MÓDOSÍTÁS) (UCC Dok.), és annak elfogadása ("irányadó jog”: 2012-296-1209-2 sz. WA UCC Dok.: „..Ez az egyetlen elfogadás, amit kap…”), és ezek magyar fordításai:




202211218534028 sz. UCC FINANCING STATEMENT AMENDMENT (UCC FINANSZÍROZÁSI NYILATKOZAT MÓDOSÍTÁS) (UCC Dok.), és annak elfogadása ("irányadó jog”: 2012-296-1209-2 sz. WA UCC Dok.: „..Ez az egyetlen elfogadás, amit kap…”), és ezek magyar fordításai:




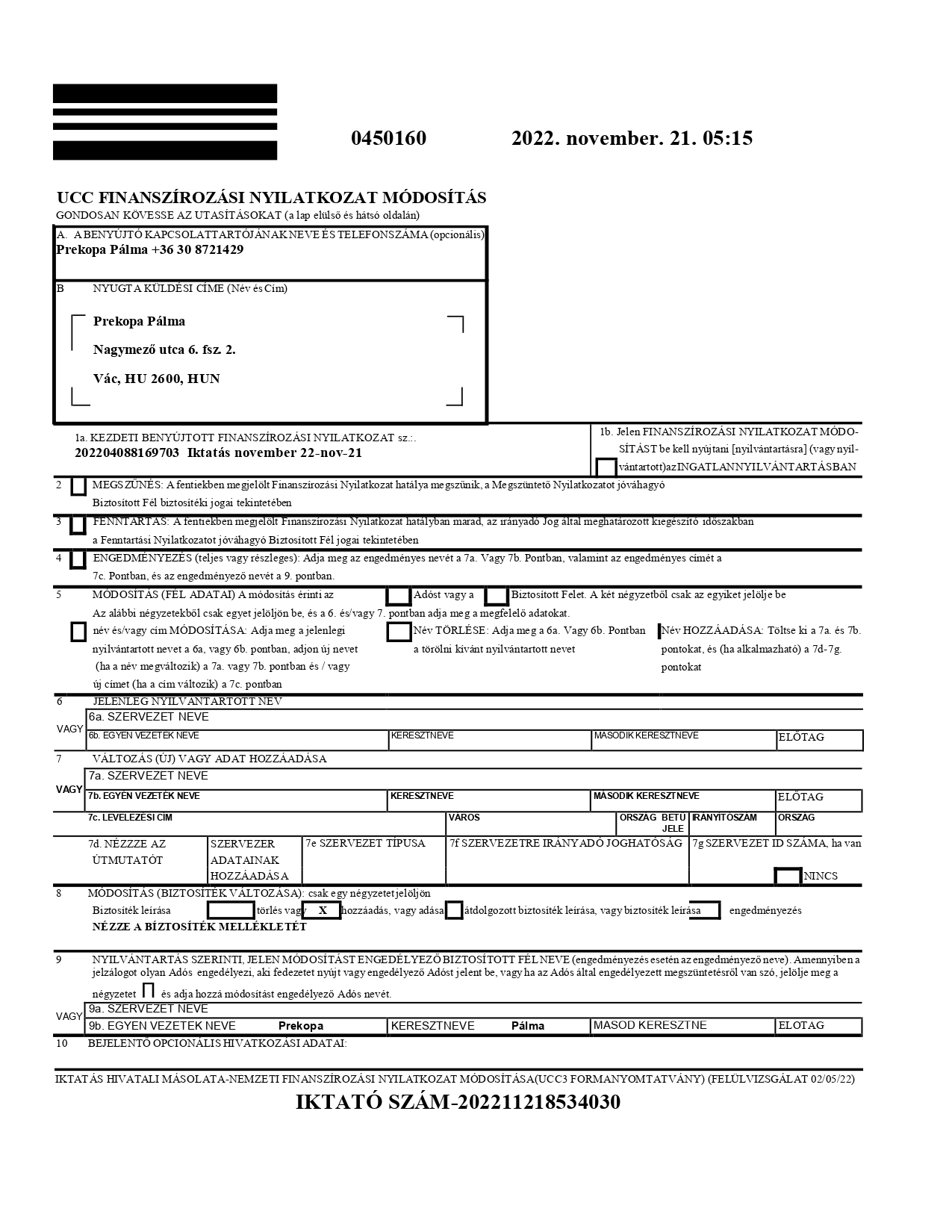
202211218534030 sz. UCC FINANCING STATEMENT AMENDMENT (UCC FINANSZÍROZÁSI NYILATKOZAT MÓDOSÍTÁS) (UCC Dok.), és annak elfogadása ("irányadó jog”: 2012-296-1209-2 sz. WA UCC Dok.: „..Ez az egyetlen elfogadás, amit kap…”), és ezek magyar fordításai:




202211218534042 sz. UCC FINANCING STATEMENT AMENDMENT (UCC FINANSZÍROZÁSI NYILATKOZAT MÓDOSÍTÁS) (UCC Dok.), és annak elfogadása ("irányadó jog”: 2012-296-1209-2 sz. WA UCC Dok.: „..Ez az egyetlen elfogadás, amit kap…”), és ezek magyar fordításai:




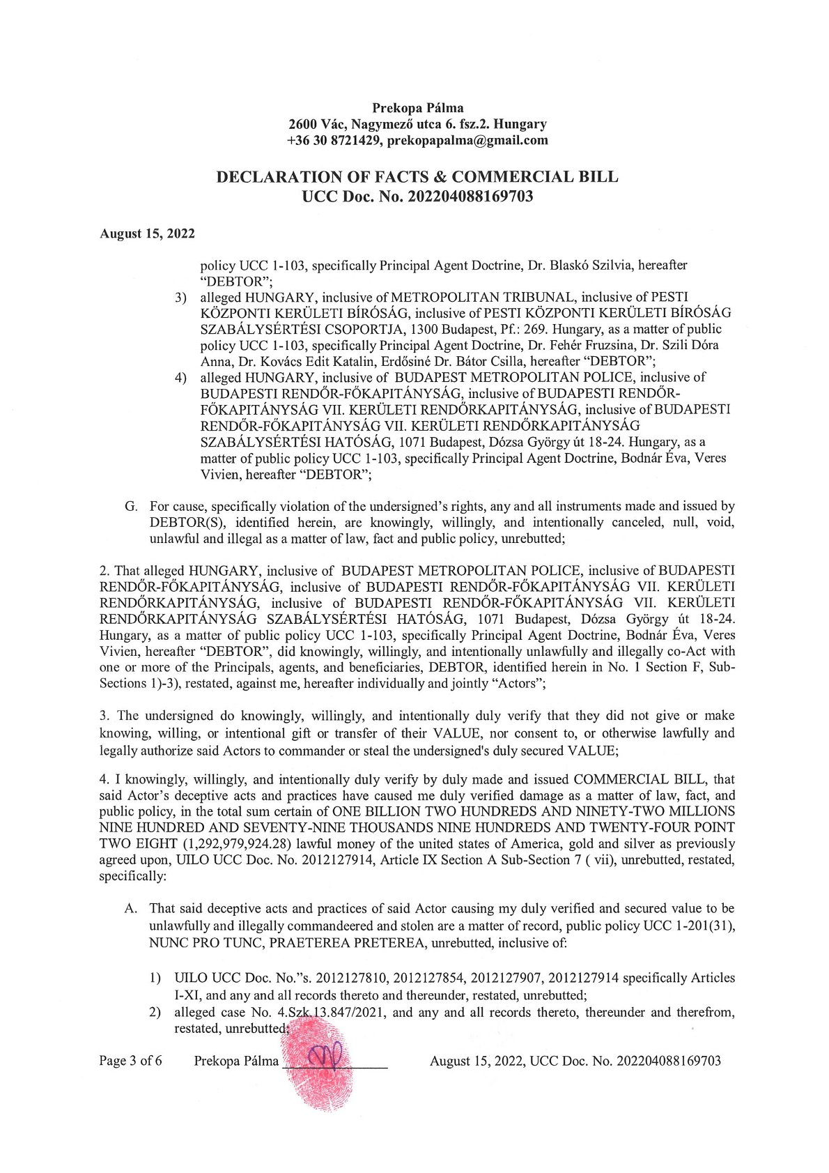
DECLARATION OF FACTS & COMMERCIAL BILL UCC Doc. No. 202204088169703 és magyar fordítása (TÉNYEK NYILATKOZATA ÉS KERESKEDELMI SZÁMLA)












202204088169703 sz. UCC FINANCING STATEMENT (UCC FINANSZÍROZÁSI NYILATKOZAT) (UCC Dok.), és annak elfogadása ("irányadó jog”: 2012-296-1209-2 sz. WA UCC Dok.: „..Ez az egyetlen elfogadás, amit kap…”), és ezek magyar fordításai:




